- Lors des dernières années, les variétés à taux élevés de CBD ont débarqué sur le marché et ont changé radicalement les règles du jeu.
- Ce cannabinoïde présent dans la composition du cannabis est devenu célèbre grâce à ses propriétés médicinales et pour ses nombreux usages récréatifs.
- Avant de lancer une variété sur le marché, chez Dinafem Seeds, nous analysons et sélectionnons les taux de cannabinoïdes et de terpènes de nos génétiques pour garantir la stabilité de certains paramètres.
- Nous croyons en l'importance de la précision et des recherches sur la composition de la plante. Dans ce post, nos techniciens de laboratoire vont expliquer comment obtenir du CBD.
Il est désormais connu de tous que le cannabis est monotypique et qu'il ne s'agit en fait qu'une seule et même espèce : le Cannabis Sativa L., comme décrit par Leonard Fuchs au VIème siècle (1). Suite au breeding et à la sélection, une grande variété de produits ont été développés avec le temps, surtout pour le marché récréatif avec des noms célèbres comme Critical + 2.0, Original Amnesia, ou Skunk.
Actuellement, de plus en plus de programmes de breeding se concentrent sur le cannabis thérapeutique, avec différentes concentrations de cannabinoïdes. Ces recherches se concentrent surtout sur le cannabidiol (CBD), mais également sur d'autres cannabinoïdes comme le cannabidivarin (CBDV) ou cannabigérol (CBG). Que ce soit à des fins récréatives ou médicales, ces plantes contiennent différentes concentrations des mêmes cannabinoïdes, c'est pourquoi il serait plus juste de parler d'empreinte digitale ou de chémotypes, ou encore de classer les variétés de cannabis selon leur concentration en cannabinoïdes que par leur phénotype.
Les concentrations en cannabinoïdes et en terpénoïdes sont des caractéristiques qui rendront les variétés uniques. Ces composés chimiques généralement accumulés dans des quantités considérables dans la cavité sécrétrice au niveau des trichomes glandulaires, surtout présents dans les fleurs femelles et les parties supérieures de la plante, seront responsables des effets, du goût et du parfum de la plante (2). À noter que les terpènes peuvent également être trouvés dans les racines des plantes, tout comme les cannabinoïdes, dans des quantités infimes dans les graines, les racines et le pollen.
Lors des dernières années, certaines banques de graines comme Dinafem Seeds se sont centrées sur des projets de breeding afin de développer des variétés à taux élevés de CBD, car ce cannabinoïde à la mode contient des propriétés très utiles dans le milieu thérapeutique et récréatif.
Quand le CBD a-t-il été découvert ?
Le cannabidiol a tout d'abord été isolé en 1940 (Adams) et ensuite identifié en 1963 (Mechoulam et Shvo) (3). Sa structure chimique est semblable à celle du THC, et donc l'isomérisation peut avoir lieu dans des conditions très acides : Le CBD peut être transformé en THC par une simple réaction chimique. Ça n'arrivera pas aux être humain, sachant que le pH gastrique n'est pas suffisamment acide pour permettre cette réaction.
Aujourd'hui, plus de 113 cannabinoïdes ont été découverts et analysé bien que certains sont des produits de dégradation, et ne sont présents dans la plante que dans des quantités négligeables (4). Dans cet article, nous nous concentrerons surtout sur la synthèse du CBD.
Comment le CBD est-il formé ?
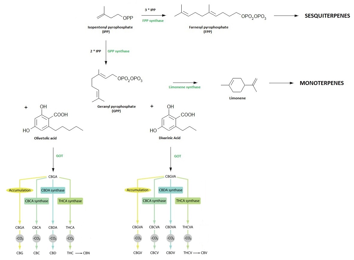
Au cours des dernières années, la voie de la biosynthèse pour la production de cannabinoïde a été découverte, et il a été démontré que les cannabinoïdes et les terpénoïdes étaient chimiquement liés, puisqu'ils partagent les mêmes parents : l'isopentényl-pyrophosphate (IPP), qui provient d'acides gras (5). Cette similitude structurelle peut expliquer pourquoi le β-caryophyllène (un sesquiterpène) peut obliger le récepteur CB2 à produire ces effets biologiques, et pourquoi l'apport en acides gras dans le corps peut changer la concentration d'endocannabinoïdes.
La biosynthèse du CBD aura lieu à l'intérieur des trichomes (petits poils ou excroissances au niveau de l'épiderme de la plante, généralement unicellulaire ou glandulaire). Cette réaction est étroitement liée à la biosynthèse des terpènes, ce qui expliquera pourquoi les cannabinoïdes et les terpènes seront considérés comme des parents moléculaires. La réaction de base de cette biosynthèse implique l'olivétol (acide olivétolique) et le géranyl-pyrophosphate, et est réalisée grâce à une enzyme : la synthase du CBDA. Le CBDA est produit par cette réaction, et sera précurseur à la synthèse du CBD. Cette forme acide du CBD est surtout présente dans les échantillons récents de cannabis. Le CBD est ensuite obtenu par décarboxylation (élimination du CO2) du CBDA. La décarboxylation peut être causée par une exposition aux rayons UV, un stockage prolongé ou à la chaleur.

Ce mécanisme explique pourquoi le CBDA est surtout présent dans les échantillons récents de cannabis, alors que le CBD est produit lorsque le cannabis est fumé, ou séché. Comme expliqué précédemment, l'IPP peut nous conduire à ces cannabinoïdes et terpènes. Pour produire des cannabinoïdes et des monoterpènes, l'IPP est tout d'abord changé en géranyl-pyrophosphate (GPP), alors que pour produire des sesquiterpènes, il est changé en farnésyl-pyrophosphate (FPP).
Ces précurseurs réagiront avec différents composés et enzymes selon les conditions de biosynthèse. Ainsi, deux cannabinoïdes principaux sont créés, les composés acides CBGVA et CBGA, qui seront ensuite synthétisés dans d'autres cannabinoïdes acides principaux de différentes façons : le CBDA synthase le CBDA, le THCA synthase le THCA, le CBCA synthase le CBCA. Les gènes responsables de l'expression de ces enzymes peuvent plus ou moins s'exprimer eux-mêmes dans la plante, ce qui donnera une production différente de cannabinoïdes, et sera responsable de la singularité des profils cannabinoïdes des variétés.
Voici la visée des programmes de breeding et les travaux de sélection. Les breeders croisent des plantes présentant les caractéristiques intéressantes, de façon à créer de nouvelles générations exprimant les gènes recherchés et produisant le profil de cannabinoïde selon leurs critères. À la fin, lorsque les fleurs sécheront et qu'elles seront bien affinées, sans éclairage ou chaleur excessive, elles contiendront surtout des cannabinoïdes sous leur forme acide.
La décarboxylation de cannabinoïdes (perte du groupement carboxyle COOH) est considérée comme une dégradation puisque ce n'est pas une réaction enzymatique. Cela peut avoir lieu dans la plante elle-même, mais ce sera plus courant lorsque les fleurs sont fumées ou cuites dans des produits comestibles, et produiront du THC, du CBD, du CBC et du CBG, considérés comme la forme active des cannabinoïdes. Le CBN, formé à partir du THC, sera une autre dégradation du produit et sera un signe de détérioration de la plante (6).
En plus de la biosynthèse des plantes, et grâce aux développements scientifiques, les plantes de cannabis ne sont pas la seule source de cannabinoïdes. Les micro-organismes, comme la levure ou les bactéries, peuvent être modifiés génétiquement pour produire des cannabinoïdes en ajoutant des gènes capables de produire les bons enzymes afin d'obtenir le composé recherché (7). Ils peuvent être d'une grande utilité sur le marché médical, car un seul cannabinoïde, ou groupe de cannabinoïde, n'est produit. Comme résultat, des produits de niveau pharmaceutiques très purs et synthétisables peuvent être obtenus, une tache très compliquée lorsque réalisée par extraction d'une plante de cannabis ou par synthèse chimique.
La question est maintenant de savoir si nous serons capables d'augmenter cela au point que la production de cannabinoïdes avec des micro-organismes en valent la peine. Mais actuellement, la production en masse est notre plus gros défi.
Bibliographie
- A. Hazekamp. Chemistry of Cannabis. Comprehensive Natural Products II. (Eds: L.Mander, H-W. Lui). Elsevier, Oxford, 2010, 3, pp. 1033-1084.
- A.Hazekamp; J.T. Fichedick. Cannabis – from cultivar to chemovar. Drug. Test. Anal. 2012, 4, 660-667.
- R.G. Pertwee. Cannabinoid pharmacology: the first 66 years. Br. J. Pharmacol. 2006, 147, S163-S171.
- O. Aizpurua-Olaizola, et al. Evolution of the Cannabinoid and Terpene Content during the Growth of Cannabis sativa Plants from Different Chemotypes. J Nat Prod. 2016, 79, 324-331.
- E. Russo. Taming THC: potential cannabis synergy and phytocannabinoid-terpenoid entourage effects. Br J Pharmacol. 2011, 163, 1344–1364.
- O. Aizpurua-Olaizola, et al. Identification and quantification of cannabinoids in Cannabis sativa L. plants by high performance liquid chromatography-mass spectrometry. Anal Bioanal Chem. 2014, 406, 7549-7560.
- J.L. Poulos; A.N. Farnia. Production of cannabinoids in yeast. US20160010126A1 patent, 2017.
Commentaires de nos lecteurs
Il n’y a pour l’instant aucun commentaire. Vous voulez être le premier ?
Laissez un commentaire !Vous avez aimé ce post ?
Votre expérience avec nos graines est très importante pour nous, et peut aider d'autres usagers (votre adresse e-mail ne sera pas publiée).